距高考还有

2021高考数学冲刺:高中数学21种解题方法与技巧大汇总

发布日期:2021-03-16
扫码二维码添加老师微信 扫码二维码添加老师微信

点击进群,掌握更多高考升学资讯>>>>高三群 648962469高二群 102441380高一群 89582399

查看资讯>>>>升空教育首页   升空讲堂   院校库   专业库



升空教育基于大数据算法推出估分选大学系统,点击此处即可进行测试

1

解决绝对值问题

主要包括化简、求值、方程、不等式、函数等题,基本思路是:把含绝对值的问题转化为不含绝对值的问题。具体转化方法有:

①分类讨论法:根据绝对值符号中的数或式子的正、零、负分情况去掉绝对值。

②零点分段讨论法:适用于含一个字母的多个绝对值的情况。

③两边平方法:适用于两边非负的方程或不等式。

④几何意义法:适用于有明显几何意义的情况。

2

因式分解

根据项数选择方法和按照一般步骤是顺利进行因式分解的重要技巧。因式分解的一般步骤是:

提取公因式

选择用公式

十字相乘法

分组分解法

拆项添项法

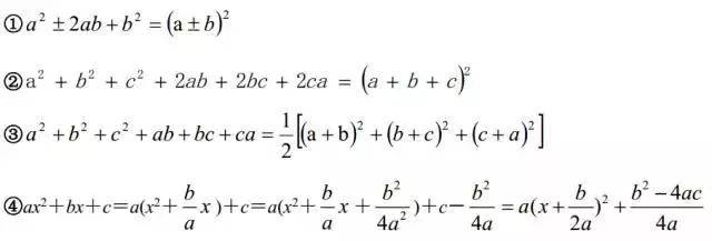
3

配方法

利用完全平方公式把一个式子或部分化为完全平方式就是配方法,它是数学中的重要方法和技巧。配方法的主要根据有:

4

换元法

解某些复杂的特型方程要用到“换元法”。换元法解方程的一般步骤是:

设元→换元→解元→还元

5

待定系数法

待定系数法是在已知对象形式的条件下求对象的一种方法。适用于求点的坐标、函数解析式、曲线方程等重要问题的解决。其解题步骤是:

①设 ②列 ③解 ④写

6

复杂代数等式

复杂代数等式型条件的使用技巧:左边化零,右边变形。

①因式分解型:

(-----)(----)=0 两种情况为或型

②配成平方型:

(----)2+(----)2=0 两种情况为且型

7

数学中两个最伟大的解题思路

(1)求值的思路列欲求值字母的方程或方程组

(2)求取值范围的思路列欲求范围字母的不等式或不等式组

8

化简二次根式

基本思路是:把√m化成完全平方式。即:

9

观察法

10

代数式求值

方法有:

(1)直接代入法

(2)化简代入法

(3)适当变形法(和积代入法)

注意:当求值的代数式是字母的“对称式”时,通常可以化为字母“和与积”的形式,从而用“和积代入法”求值。

11

解含参方程

方程中除过未知数以外,含有的其它字母叫参数,这种方程叫含参方程。解含参方程一般要用‘分类讨论法’,其原则是:

(1)按照类型求解

(2)根据需要讨论

(3)分类写出结论

12

恒相等成立的有用条件

(1)ax+b=0对于任意x都成立关于x的方程ax+b=0有无数个解a=0且b=0。

(2)ax2+bx+c=0对于任意x都成立关于x的方程ax2+bx+c=0有无数解a=0、b=0、c=0。

13

恒不等成立的条件

由一元二次不等式解集为R的有关结论容易得到下列恒不等成立的条件:

14

平移规律

图像的平移规律是研究复杂函数的重要方法。平移规律是:

15

图像法

讨论函数性质的重要方法是图像法——看图像、得性质。

定义域 图像在X轴上对应的部分

值 域 图像在Y轴上对应的部分

单调性

从左向右看,连续上升的一段在X轴上对应的区间是增区间;从左向右看,连续下降的一段在X轴上对应的区间是减区间。

最 值 图像最高点处有最大值,图像最低点处有最小值

奇偶性 关于Y轴对称是偶函数,关于原点对称是奇函数

16

函数、方程、不等式简的重要关系

方程的根

函数图像与x轴交点横坐标

不等式解集端点

17

一元二次方程的解法

一元二次不等式可以用因式分解转化为二元一次不等式组去解,但比较复杂;它的简便的实用解法是根据“三个二次”间的关系,利用二次函数的图像去解。具体步骤如下:

二次化为正

判别且求根

画出示意图

解集横轴中

18

一元二次方程根的讨论

一元二次方程根的符号问题或m型问题可以利用根的判别式和根与系数的关系来解决,但根的一般问题、特别是区间根的问题要根据“三个二次”间的关系,利用二次函数的图像来解决。“图像法”解决一元二次方程根的问题的一般思路是:

题意

二次函数图像

不等式组

不等式组包括:a的符号;△的情况;对称轴的位置;区间端点函数值的符号。

19

基本函数在区间上的值域

我们学过的一次函数、反比例函数、二次函数等有名称的函数是基本函数。基本函数求值域或最值有两种情况:

(1)定义域没有特别限制时---记忆法或结论法;

(2)定义域有特别限制时---图像截断法,一般思路是:

画出图像

截出一断

得出结论

20

最值型应用题的解法

应用题中,涉及“一个变量取什么值时另一个变量取得最大值或最小值”的问题是最值型应用题。解决最值型应用题的基本思路是函数思想法,其解题步骤是:

设变量

列函数

求最值

写结论

21

穿线法

穿线法是解高次不等式和分式不等式的最好方法。其一般思路是:

首项化正

求根标根

右上起穿

奇穿偶回

注意:①高次不等式首先要用移项和因式分解的方法化为“左边乘积、右边是零”的形式。②分式不等式一般不能用两边都乘去分母的方法来解,要通过移项、通分合并、因式分解的方法化为“商零式”,用穿线法解。

文章整理自网络,如有侵权请联系管理员删除

四川升空教育 四川升空教育

升空简介   BRIEF INTRODUCTION

四川升空教育

四川冠博升空教育咨询有限公司成立于2008年(以下简称升空教育),是西南片区成立最早的升学规划指导机构之一,也是率先引进ISO9001“高中生升学咨询服务”国际质量认证体系的机构。我们服务的主要内容有:高考志愿填报、强基计划、综合评价、少数民族预科、国家专项、高校专项、地方专项、高水平艺术团、高水平运动队、高中生学情管理、大学生学业与职业规划等项目,全方位多渠道为高中学子量身定制升学规划。公司以“诚信负责、质量为本、勤学精进、开拓创新”的服务理念,多年来帮助万余名学子实现学业梦想。

四川升学规划专家

扫一扫微信咨询专家

电话咨询:

成都:028-68834610

绵阳:0816-6336002

微信公众平台

四川升学规划专家

微信咨询

升空教育李老师
关于升空
公司简介
联系我们
专家团队
数据查询
院校查询
专业查询
估分选大学
高考资讯
招生政策
强基计划资讯
港澳院校内地招生

扫一扫,在线咨询

添加微信与我们联系
  • 成都地址:成都市武侯区科华北路58号亚太广场C座9楼
  • 咨询热线:028-68834610
  • 绵阳地址:绵阳市涪城区万达广场1单元11楼
  • 咨询热线:0816-6336002
  • 绵阳地址:绵阳市教育南路69号五方校园广场2栋2单元2-71/72
  • 咨询热线:0816-6985002
  • 宜宾地址:蜀南大道14号新世纪10楼18号
  • 咨询热线:13548013413
  • 西昌地址:四川省西昌市顺河路口美丽华酒店西一楼
  • 咨询热线:18280646325
  • 乐山地址:乐山市市中区白云街336号时代购物街3楼
  • 咨询热线:18781311127 朱老师
  • 备案号:蜀ICP备18015759号-1 蜀ICP备18015759号-2    

申明:本网站数据来自于四川省教育考试院、教育部阳光高考信息公开平台、《招生考试报》、《高考指南》、高校招生杂志社、四川教育发布、招生考试信息网ZK789及其他网络平台,如有侵权请联系管理员删除。

四川高考升学免费咨询:028-85004612、0816-6336002

免费预约咨询

请放心输入您的电话号码,点击预约咨询,稍后您将接到我们的电话,该通话对您完全免费,请放心接听!

称呼不能为空!
请输入正确的电话号码!

用户登录

账号不能为空!
密码不能为空!
还没有账号: 点此免费注册