距高考还有

高中数学必备公式与知识点大汇总,家有高中生,务必收藏!

发布日期:2021-03-10
扫码二维码添加老师微信 扫码二维码添加老师微信

点击进群,掌握更多高考升学资讯>>>>高三群 648962469高二群 102441380高一群 89582399

查看资讯>>>>升空教育首页   升空讲堂   院校库   专业库



升空教育基于大数据算法推出估分选大学系统,点击此处即可进行测试

1

函数的单调性

2

函数的奇偶性

3

函数在某处的导数的几何意义

4

几种常见函数的导数

5

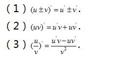
导数的运算法则

6

求函数的极值

7

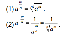
分数指数幂

8

根式的性质

9

有理数指数幂的运算性质

10

对数公式

11

常见的函数图像

12

同角三角函数的基本关系式

13

正弦、余弦的诱导公式

14

和角与差角公式

15

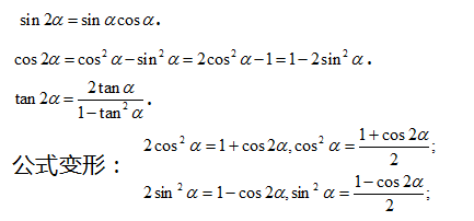
二倍角公式

16

三角函数的周期

17

正弦定理

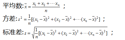
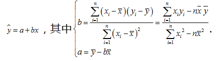
18

余弦定理

19

面积定理

20

三角形内角和定理

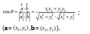
21

a与b的数量积

22

平面向量的坐标运算

23

两向量的夹角公式

24

平面两点间距离公式

25

向量的平行与垂直

26

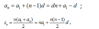
数列通项公式与前n项和的关系

27

等差数列通项公事与前n项和公式

28

等差数列的性质

29

等比数列的通项公式与前n项和公式

30

等比数列的性质

31

常用不等式

32

直线的三角方程

33

两条直线的垂直和平行

34

点到直线的距离

35

圆的两种方程

36

点与圆的位置关系

37

直线与圆的位置关系

38

椭圆、双曲线、抛物线的性质

39

双曲线方程与渐近线方程的关系

40

抛物线的焦半径公式

41

平方差标准差的计算

42

回归直线方程

43

独立性检验

44

复数

45

参数方程、极坐标化为直角坐标

文章整理自网络,如有侵权请联系管理员删除

四川升空教育 四川升空教育

升空简介   BRIEF INTRODUCTION

四川升空教育

四川冠博升空教育咨询有限公司成立于2008年(以下简称升空教育),是西南片区成立最早的升学规划指导机构之一,也是率先引进ISO9001“高中生升学咨询服务”国际质量认证体系的机构。我们服务的主要内容有:高考志愿填报、强基计划、综合评价、少数民族预科、国家专项、高校专项、地方专项、高水平艺术团、高水平运动队、高中生学情管理、大学生学业与职业规划等项目,全方位多渠道为高中学子量身定制升学规划。公司以“诚信负责、质量为本、勤学精进、开拓创新”的服务理念,多年来帮助万余名学子实现学业梦想。

四川升学规划专家

扫一扫微信咨询专家

电话咨询:

成都:028-68834610

绵阳:0816-6336002

微信公众平台

四川升学规划专家

微信咨询

升空教育李老师
关于升空
公司简介
联系我们
专家团队
数据查询
院校查询
专业查询
估分选大学
高考资讯
招生政策
强基计划资讯
港澳院校内地招生

扫一扫,在线咨询

添加微信与我们联系
  • 成都地址:成都市武侯区科华北路58号亚太广场C座9楼
  • 咨询热线:028-68834610
  • 绵阳地址:绵阳市涪城区万达广场1单元11楼
  • 咨询热线:0816-6336002
  • 绵阳地址:绵阳市教育南路69号五方校园广场2栋2单元2-71/72
  • 咨询热线:0816-6985002
  • 宜宾地址:蜀南大道14号新世纪10楼18号
  • 咨询热线:13548013413
  • 西昌地址:四川省西昌市顺河路口美丽华酒店西一楼
  • 咨询热线:18280646325
  • 乐山地址:乐山市市中区白云街336号时代购物街3楼
  • 咨询热线:18781311127 朱老师
  • 备案号:蜀ICP备18015759号-1 蜀ICP备18015759号-2    

申明:本网站数据来自于四川省教育考试院、教育部阳光高考信息公开平台、《招生考试报》、《高考指南》、高校招生杂志社、四川教育发布、招生考试信息网ZK789及其他网络平台,如有侵权请联系管理员删除。

四川高考升学免费咨询:028-85004612、0816-6336002

免费预约咨询

请放心输入您的电话号码,点击预约咨询,稍后您将接到我们的电话,该通话对您完全免费,请放心接听!

称呼不能为空!
请输入正确的电话号码!

用户登录

账号不能为空!
密码不能为空!
还没有账号: 点此免费注册