距高考还有

2021高考复习资料大全:高中数学所有公式大合集

发布日期:2020-11-30
扫码二维码添加老师微信 扫码二维码添加老师微信

点击进群,掌握更多高考升学资讯>>>>高三群 648962469高二群 102441380高一群 89582399

查看资讯>>>>升空教育首页   升空讲堂   院校库   专业库



升空教育基于大数据算法推出估分选大学系统,点击此处即可进行测试

1

集 合

一、常用符号

二、常用公式

2

基本初等函数

一、概念与符号

二、常用公式

3

函 数 应 用

一、概念与符号

二、常用公式、

三、常用定理

4

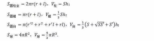
空间几何体

一、常用公式

二、常用定理

5

点、线、面的位置关系

一、概念与符号

二、常用定理

6

空间向量与立体几何

一、常用公式

二、常用定理

7

直线与方程

一、概念与符号

二、常用公式

三、用用定理

8

圆 与 方 程

一、概念与符号

二、常用公式

9

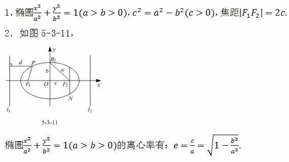
圆锥曲线与方程

一、椭圆

二、双曲线

三、抛物线

四、直线与圆锥曲线的关系

10

集 合

一、常用符号

二、基本算法语句

11

统 计

12

概 率

13

离散型随机变量的分布列

14

三 角 函 数

一、常用概念

二、常用公式

三、常用结论

15

三角函数的图像与性质

一、常用图形

二、常用性质

三、常用公式

16

三角恒等变化

17

解 三 角 形

一、常用公式

二、常用定理

三、常用结论

18

平 面 向 量

一、常用公式

二、常用定理

19

数 列

一、常用公式

二、常用结论

20

不 等 式

21

常见逻辑用语

一、常用符号

二、常用结论

22

导数及其应用

23

复 数

24

计 数 原 理

一、常用公式

二、常用结论

25

坐标系与参数方程

四川升空教育 四川升空教育

升空简介   BRIEF INTRODUCTION

四川升空教育

四川冠博升空教育咨询有限公司成立于2008年(以下简称升空教育),是西南片区成立最早的升学规划指导机构之一,也是率先引进ISO9001“高中生升学咨询服务”国际质量认证体系的机构。我们服务的主要内容有:高考志愿填报、强基计划、综合评价、少数民族预科、国家专项、高校专项、地方专项、高水平艺术团、高水平运动队、高中生学情管理、大学生学业与职业规划等项目,全方位多渠道为高中学子量身定制升学规划。公司以“诚信负责、质量为本、勤学精进、开拓创新”的服务理念,多年来帮助万余名学子实现学业梦想。

四川升学规划专家

扫一扫微信咨询专家

电话咨询:

成都:028-68834610

绵阳:0816-6336002

微信公众平台

四川升学规划专家

微信咨询

升空教育李老师
关于升空
公司简介
联系我们
专家团队
数据查询
院校查询
专业查询
估分选大学
高考资讯
招生政策
强基计划资讯
港澳院校内地招生

扫一扫,在线咨询

添加微信与我们联系
  • 成都地址:成都市武侯区科华北路58号亚太广场C座9楼
  • 咨询热线:028-68834610
  • 绵阳地址:绵阳市涪城区万达广场1单元11楼
  • 咨询热线:0816-6336002
  • 绵阳地址:绵阳市教育南路69号五方校园广场2栋2单元2-71/72
  • 咨询热线:0816-6985002
  • 宜宾地址:蜀南大道14号新世纪10楼18号
  • 咨询热线:13548013413
  • 西昌地址:四川省西昌市顺河路口美丽华酒店西一楼
  • 咨询热线:18280646325
  • 乐山地址:乐山市市中区白云街336号时代购物街3楼
  • 咨询热线:18781311127 朱老师
  • 备案号:蜀ICP备18015759号-1 蜀ICP备18015759号-2    

申明:本网站数据来自于四川省教育考试院、教育部阳光高考信息公开平台、《招生考试报》、《高考指南》、高校招生杂志社、四川教育发布、招生考试信息网ZK789及其他网络平台,如有侵权请联系管理员删除。

四川高考升学免费咨询:028-85004612、0816-6336002

免费预约咨询

请放心输入您的电话号码,点击预约咨询,稍后您将接到我们的电话,该通话对您完全免费,请放心接听!

称呼不能为空!
请输入正确的电话号码!

用户登录

账号不能为空!
密码不能为空!
还没有账号: 点此免费注册